Home > Product Catalog > Impurities > Perindopril Impurity I
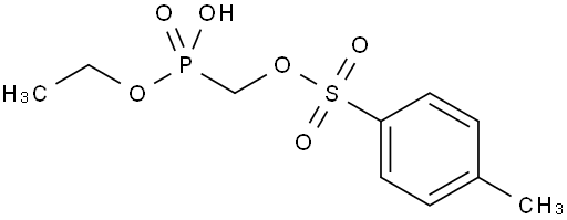
[CAS No.145513-33-3] A1292428 Perindopril Impurity I 95%
Catalog No.:
Cas No.:
Molecular Formula:
Molecular Weight:
MDL NO:
EINECS:
Order & Inquiry & Tech Support
Tel: 0086-571-89925085
Order & Inquiry: sales@amadischem.com
Tech Support: tech@amadischem.com
*All chemicals from Amadis Chemical are for laboratory or manufacturing use only.
Quality Control of [145513-33-3]

NMR

CNMR

HPLC

LC-MS

Related Doc. of[145513-33-3]
Product Details [145513-33-3]
Synonyms:
Appearance:
Storage:
Boiling point:
Melting point:
Flash point:
Pubchem ID:
Smiles:
InchiKey:
Inchi:
Safety [145513-33-3]
GHS Pictogram:
Signal Word:
Class:
Precautionary Statements:
UN No.:
Hazard Statements:
Packing Group:
Literatures [145513-33-3]
Sorry, the literature is not available.
Similar of [145513-33-3]
Perindopril
Reason:Impurities
Perindopril erbumine
Reason:Impurities
(1S,3aR,6aS)-2-[(2S)-2-[[(2S)-2-AMino-2-cyclohexylacetyl]aMino]-3,3-diMethyl-1-oxobutyl]octahydrocyclopenta[c]pyrrole-1-carboxylic acid tert-butyl este
Reason:Impurities
Perindopril erbumine monohydrate
Reason:Impurities
ethyl (S)-2-((R)-2-oxo-4-propylpyrrolidin-1-yl)butanoate
Reason:Impurities
1H-Indole-2-carboxylic acid, 1-[(2S)-2-[[(1S)-1-(ethoxycarbonyl)butyl]amino]-1-oxopropyl]octahydro-, (2R,3aS,7aS)-
Reason:Impurities
1H-Indole-2-carboxylic acid, 1-[2-[[1-(ethoxycarbonyl)butyl]amino]-1-oxopropyl]octahydro-, [2S-[1[R*(R*)],2α,3aα,7aα]]- (9CI)
Reason:Impurities
ethyl 1-oxo-octahydropyrrolo[1,2-a]piperazine-6-carboxylate
Reason:Impurities
ethyl (6S,8aS)-4-oxo-2,3,6,7,8,8a-hexahydro-1H-pyrrolo[1,2-a]pyrazine-6-carboxylate
Reason:Impurities
Description [145513-33-3]
Sorry, the product description is not available.
Competitive price
Fast logistics
Technical support
Stock in hand