Synonyms:
Appearance:
White powder
Storage:
Store in -20°C for long term (months)
Boiling point:
Melting point:
Flash point:
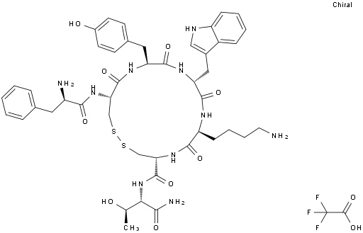
Smiles:
CC[C@H](C)[C@@H](C(=O)N[C@@H](C)C(=O)N[C@@H](CC1=CNC2=CC=CC=C21)C(=O)N[C@@H](CC(C)C)C(=O)N[C@@H](C(C)C)C(=O)N[C@@H](CCCNC(=N)N)C(=O)NCC(=O)N[C@@H](CCCNC(=N)N)C(=O)NCC(=O)O)NC(=O)[C@H](CC3=CC=CC=C3)NC(=O)[C@H](CCC(=O)O)NC(=O)[C@H](CCCCNC(=O)COCCOCCNC(=O)COCCOCCNC(=O)CC[C@H](C(=O)O)NC(=O)CCCCCCCCCCCCCCCCC(=O)O)NC(=O)[C@H](C)NC(=O)[C@H](C)NC(=O)[C@H](CCC(=O)N)NC(=O)CNC(=O)[C@H](CCC(=O)O)NC(=O)[C@H](CC(C)C)NC(=O)[C@H](CC4=CC=C(C=C4)O)NC(=O)[C@H](CO)NC(=O)[C@H](CO)NC(=O)[C@H](C(C)C)NC(=O)[C@H](CC(=O)O)NC(=O)[C@H](CO)NC(=O)[C@H]([C@@H](C)O)NC(=O)[C@H](CC5=CC=CC=C5)NC(=O)[C@H]([C@@H](C)O)NC(=O)CNC(=O)[C@H](CCC(=O)O)NC(=O)C(C)(C)NC(=O)[C@H](CC6=CN=CN6)N
InchiKey:
DLSWIYLPEUIQAV-CCUURXOWSA-N
Inchi:
InChI=1S/C187H291N45O59/c1-18-105(10)154(180(282)208-108(13)159(261)216-133(86-114-89-200-119-50-40-39-49-117(114)119)170(272)218-129(82-102(4)5)171(273)228-152(103(6)7)178(280)215-121(53-44-72-199-186(192)193)162(264)201-91-141(242)209-120(52-43-71-198-185(190)191)161(263)204-94-151(257)258)230-172(274)131(83-111-45-33-31-34-46-111)219-167(269)126(64-69-149(253)254)214-166(268)122(51-41-42-70-195-144(245)98-290-79-78-289-76-74-197-145(246)99-291-80-77-288-75-73-196-139(240)66-61-127(183(285)286)211-140(241)54-37-29-27-25-23-21-19-20-22-24-26-28-30-38-55-146(247)248)212-158(260)107(12)206-157(259)106(11)207-165(267)125(60-65-138(189)239)210-142(243)92-202-163(265)123(62-67-147(249)250)213-168(270)128(81-101(2)3)217-169(271)130(85-113-56-58-116(238)59-57-113)220-175(277)135(95-233)223-177(279)137(97-235)224-179(281)153(104(8)9)229-174(276)134(88-150(255)256)221-176(278)136(96-234)225-182(284)156(110(15)237)231-173(275)132(84-112-47-35-32-36-48-112)222-181(283)155(109(14)236)227-143(244)93-203-164(266)124(63-68-148(251)252)226-184(287)187(16,17)232-160(262)118(188)87-115-90-194-100-205-115/h31-36,39-40,45-50,56-59,89-90,100-110,118,120-137,152-156,200,233-238H,18-30,37-38,41-44,51-55,60-88,91-99,188H2,1-17H3,(H2,189,239)(H,194,205)(H,195,245)(H,196,240)(H,197,246)(H,201,264)(H,202,265)(H,203,266)(H,204,263)(H,206,259)(H,207,267)(H,208,282)(H,209,242)(H,210,243)(H,211,241)(H,212,260)(H,213,270)(H,214,268)(H,215,280)(H,216,261)(H,217,271)(H,218,272)(H,219,269)(H,220,277)(H,221,278)(H,222,283)(H,223,279)(H,224,281)(H,225,284)(H,226,287)(H,227,244)(H,228,273)(H,229,276)(H,230,274)(H,231,275)(H,232,262)(H,247,248)(H,249,250)(H,251,252)(H,253,254)(H,255,256)(H,257,258)(H,285,286)(H4,190,191,198)(H4,192,193,199)/t105-,106-,107-,108-,109+,110+,118-,120-,121-,122-,123-,124-,125-,126-,127+,128-,129-,130-,131-,132-,133-,134-,135-,136-,137-,152-,153-,154-,155-,156-/m0/s1