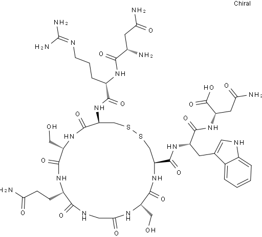
Home > Product Catalog > All > Eptifibatide
[CAS No.188627-80-7] A813250 Eptifibatide 97%
Catalog No.:
Cas No.:
Molecular Formula:
Molecular Weight:
MDL NO:
EINECS:
Order & Inquiry & Tech Support
Tel: 0086-571-89925085
Order & Inquiry: sales@amadischem.com
Tech Support: tech@amadischem.com
*All chemicals from Amadis Chemical are for laboratory or manufacturing use only.
Quality Control of [188627-80-7]

NMR

CNMR

HPLC

LC-MS

Related Doc. of[188627-80-7]
Product Details [188627-80-7]
Synonyms:
Appearance:
Storage:
Boiling point:
Melting point:
Flash point:
Pubchem ID:
Smiles:
InchiKey:
Inchi:
Safety [188627-80-7]
GHS Pictogram:
Signal Word:
Class:
Precautionary Statements:
UN No.:
Hazard Statements:
Packing Group:
Literatures [188627-80-7]
Sorry, the literature is not available.
Similar of [188627-80-7]
ASN-ARG-CYS-SER-GLN-GLY-SER-CYS-TRP-ASN
Reason:All
Eptifibatide
Reason:All
L-​Cysteinamide, N6-​(aminoiminomethyl)​-​N2-​(3-​mercapto-​1-​oxopropyl)​-​L-​lysylglycylglycyl-​L-​α-​aspartyl-​L-​tryptophyl-​L-​prolyl-​, cyclic (1→7)​-​disulfide
Reason:All
Eptifibatide Acetate
Reason:All
Description [188627-80-7]
Sorry, the product description is not available.
Browsing history
No record.
Competitive price
Fast logistics
Technical support
Stock in hand