Home > Product Catalog > All > (1,1-dimethoxyethyl)dimethylamine
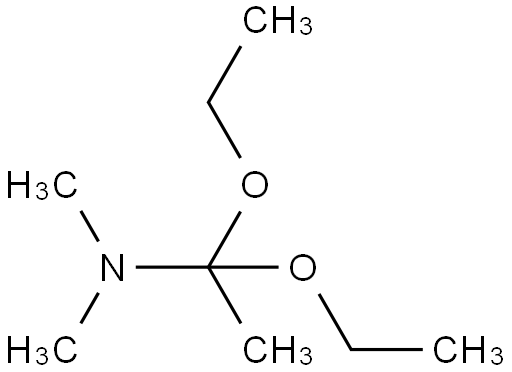
[CAS No.18871-66-4] A813258 (1,1-dimethoxyethyl)dimethylamine 97%
Catalog No.:
Cas No.:
Molecular Formula:
Molecular Weight:
MDL NO:
EINECS:
Order & Inquiry & Tech Support
Tel: 0086-571-89925085
Order & Inquiry: sales@amadischem.com
Tech Support: tech@amadischem.com
*All chemicals from Amadis Chemical are for laboratory or manufacturing use only.
Quality Control of [18871-66-4]

NMR

CNMR

HPLC

LC-MS

Related Doc. of[18871-66-4]
Product Details [18871-66-4]
Synonyms:
Appearance:
Storage:
Boiling point:
Melting point:
Flash point:
Pubchem ID:
Smiles:
InchiKey:
Inchi:
Safety [18871-66-4]
GHS Pictogram:
Signal Word:
Class:
Precautionary Statements:
UN No.:
Packing Group:
Literatures [18871-66-4]
Sorry, the literature is not available.
Similar of [18871-66-4]
1,1-Diethoxy-N,N-dimethylethanamine
Reason:All
Description [18871-66-4]
Sorry, the product description is not available.
Browsing history
No record.
Competitive price
Fast logistics
Technical support
Stock in hand