Home > Product Catalog > Impurities > Acetic acid abiolone impurity 16
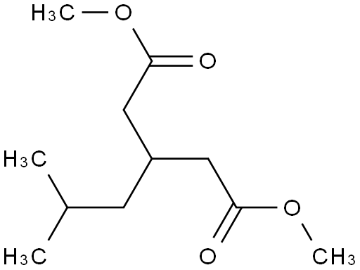
[CAS No.1868064-76-9] A1292170 Acetic acid abiolone impurity 16 95%
Catalog No.:
Cas No.:
Molecular Formula:
Molecular Weight:
MDL NO:
EINECS:
Order & Inquiry & Tech Support
Tel: 0086-571-89925085
Order & Inquiry: sales@amadischem.com
Tech Support: tech@amadischem.com
*All chemicals from Amadis Chemical are for laboratory or manufacturing use only.
Quality Control of [1868064-76-9]

NMR

CNMR

HPLC

LC-MS

Related Doc. of[1868064-76-9]
Product Details [1868064-76-9]
Synonyms:
Appearance:
Storage:
Boiling point:
Melting point:
Flash point:
Pubchem ID:
Smiles:
InchiKey:
Inchi:
Safety [1868064-76-9]
GHS Pictogram:
Signal Word:
Class:
Precautionary Statements:
UN No.:
Hazard Statements:
Packing Group:
Literatures [1868064-76-9]
Sorry, the literature is not available.
Similar of [1868064-76-9]
Abiraterone acetate
Reason:Impurities
Description [1868064-76-9]
Sorry, the product description is not available.
Competitive price
Fast logistics
Technical support
Stock in hand